草莓香蕉榴莲丝瓜秋葵绿巨人最新版機械軸向(xiàng)型內壓式波紋補償器(TNY)產品參數十三-河北草莓香蕉榴莲丝瓜秋葵绿巨人最新版機械(xiè)製造有限公司
企(qǐ)業相冊
|
手機站
|
pad站(zhàn)
|
網站地圖
24小時熱線電話
17731755320
首頁
公司(sī)簡介
組織機構
銷售網絡
企業資質
企(qǐ)業文化
生產場景(jǐng)
售後(hòu)承諾
公司業績
聯係方式
產品中心
伸縮節係列
金屬(shǔ)波紋管係列
伸縮節係列
金屬補償器係列
金屬波紋膨脹節係列
非金屬補償器係列
不(bú)鏽鋼金屬(shǔ)軟連接係列
套筒補償器係(xì)列
橡膠軟接頭(tóu)係(xì)列
風道橡膠(jiāo)補償器係列
通用風門係列
插板閥係列
卸料(liào)器係(xì)列
產品參數
新聞資訊
公司(sī)業績
生產場景
聯係(xì)方式
熱門(mén)點擊:
金屬波紋管
|
伸縮節
|
膨脹節
|
非金屬膨脹節
|
不鏽鋼金屬軟連接
|
非金(jīn)屬織(zhī)物(wù)補償(cháng)器
|
厚壁伸縮節
|
不鏽鋼金(jīn)屬軟管
|
套筒伸縮器
|
當前位置:
首頁>
產品參數
>
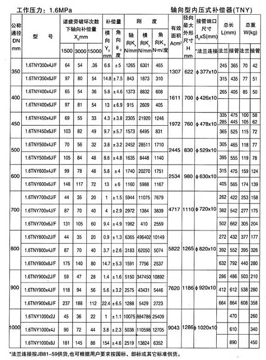
軸向型內壓式波紋(wén)補償器(TNY)產品參數十三(sān)
軸向型內壓式波紋補償器(TNY)產品參數十三
猜您喜(xǐ)歡
小拉(lā)杆波紋膨脹(zhàng)節
大拉杆波紋伸縮節
焊接小拉(lā)杆波紋伸縮(suō)節
公司簡介
生產場景
售後承諾
企業文(wén)化
銷售網絡
組織機構
公司業績
企業(yè)資質
聯(lián)係方式
聯係方式
河北(běi)中(zhōng)浩機械製造有限公司
電話:0317-8300612
0317-8300672
0317-8300632
傳真(zhēn):0317-8300692
手機(jī):18632750799(微信同步)
18632750699(微信同步(bù))
13343271054(微信同步(bù))
17731755320(微信同步(bù))
13343270454(微信同步)
13343270064 (微信同步)
Email:btzhonghao@163.com
網 址:www.jamdon.com
地 址:河北省滄州(zhōu)市泊頭市齊橋鎮李樓村(廊(láng)泊(bó)路西側)
郵政編碼:062150
公司簡介
|
售後服務
|
生產場景
|
聯係方式
|
網站地(dì)圖
公司名稱:河(hé)北草莓香蕉榴莲丝瓜秋葵绿巨人最新版機械製造有限公司 公司地址(zhǐ):河北省滄州市泊頭市齊橋鎮李樓村(廊泊路西側) 電話:0317-8300612 8300672 8300632 傳真:0317-8300692 手機(jī):18632750799 18632750699 13343271054 17731755320 13343270454 13343270064 網址:
http://www.jamdon.com
河北中(zhōng)浩機械製造有限公司 2011(C)版權所有 並對網(wǎng)站所有內容保留解(jiě)釋權
冀ICP備19005587號-1
冀公網(wǎng)安備 13098102000560號
PowerBy:速貝·網搜寶 技術支(zhī)持:速貝微博
网站地图
草莓香蕉榴莲丝瓜秋葵绿巨人最新版-草莓香蕉榴莲丝瓜秋葵绿巨人APP-污草莓樱桃丝瓜绿巨人秋葵笔趣阁-草莓直播免费下载观看视频-香蕉榴莲绿巨人草莓榴莲在线观看-丝瓜草莓榴莲秋葵芭乐18岁污在线观看